באתר זה נעשה שימוש בקבצי עוגיות בין היתר של צדדים שלישיים. חלקן חיוניות לחוויית גלישה תקינה וחלק משמשות לסטטיסטיקה ושיווק. המשך גלישה באתר מהווה הסכמה לשימוש זה. המידע נשמר בהתאם למדיניות הפרטיות של מכון דוידסון.
הזמנת כרטיסים
heb
הזמנת כרטיסים
arrow heb

כוכב מקיסמי שיניים

איך מכינים כוכבים שנוצרים מעצמם בעזרת קיסמי שיניים – ומה הקשר לפרעונים?

צפה בסרטון

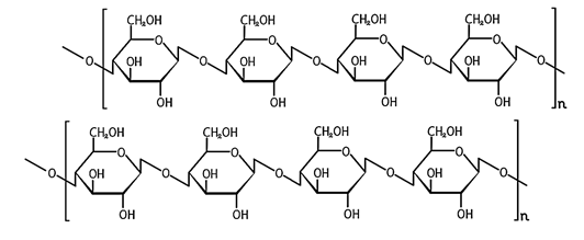
העץ (שממנו הוכנו הקיסמים) עשוי בעיקר מתאית. התאית בנויה משרשרות ארוכות מאוד: מאות מולקולות של הסוכר גלוקוז הקשורות אחת לשנייה.

 

אילו קשרים בין-מולקולריים קיימים בין שרשרות סמוכות של תאית? בחרו בתשובה הנכונה. 

1.

קשרי מימן בלבד.

כל הכבוד! תשובה נכונה חלקית תשובה נכונה תשובה לא נכונה

2.

קשרי ואן דר ואלס בלבד.

כל הכבוד! תשובה נכונה חלקית תשובה נכונה תשובה לא נכונה

3.

קשרים קוולנטיים.

כל הכבוד! תשובה נכונה חלקית תשובה נכונה תשובה לא נכונה

4.

קשרי מימן וקשרי ואן דר ואלס.

כל הכבוד! תשובה נכונה חלקית תשובה נכונה תשובה לא נכונה

מדוע העץ סופג את המים? בחרו בתשובה הנכונה. 

1.

נוצרים קשרי מימן בין שרשרות התאית ובין מולקולות המים.

 

כל הכבוד! תשובה נכונה חלקית תשובה נכונה תשובה לא נכונה

2.

נוצרים קשרים קוולנטיים בין שרשרות התאית ובין מולקולות המים.

 

כל הכבוד! תשובה נכונה חלקית תשובה נכונה תשובה לא נכונה

3.

נוצרים קשרי ואן דר ואלס בין שרשרות התאית ובין מולקולות המים.

כל הכבוד! תשובה נכונה חלקית תשובה נכונה תשובה לא נכונה

בין שרשרות התאית קיימים קשרי מימן רבים, כי לאורכה של כל שרשרת מוקדים רבים ליצירת קשרי מימן עם שרשרות סמוכות.

כשמולקולות המים חודרות למרווחים בין השרשרות, חלק מקשרי המימן בין שרשרות התאית ניתקים, ובמקומם נוצרים קשרי מימן בין השרשרות ובין מולקולות המים. מכיוון שהשרשרות ארוכות מאוד, מולקולות המים אינן מצליחות להפריד בין השרשרות, אלא רק להיכנס ביניהן ועקב כך העץ תופח. הכיפוף של כל קיסם נפתח כדי לתת מקום לשרשרות התופחות, וכך נוצרת צורת הכוכב.

סרטון אינטראקטיבי

קיסמי שיניים יוצרים כוכב ‒ סרטון אינטראקטיבי

הפעל סרטון
על הפעילות

בפעילות זו התלמידים יצפו בסרטון שבו נוצרות צורות דמויות כוכב מקיסמי שיניים שבורים שעליהם טפטפו מים. במהלך הסרטון התלמידים מקבלים מידע נוסף על התאית – החומר שממנו עשוי העץ – ועונים על שאלות בנושא קשרים בין-מולקולריים.

מושגים

קשרים בין-מולקולריים, קשרי מימן, קשרי ואן דר ואלס

מערך שיעור

צופים בניסויים: מבינים קשרי מימן

שיעור אחד - שני שיעורים
על הפעילות

בפעילות זו יצפו התלמידים בסרטונים, חלקם סרטונים אינטראקטיביים שמכילים שאלות. התלמידים יתרגלו את הנושא "קשרי מימן" בהקשרים קונקרטיים שמופיעים בסרטונים ובשאלות, תוך כדי התייחסות לתפיסות שגויות נפוצות בנושא.

מושגים

קשרי מימן, קשר קוולנטי קוטבי, קשרים בין מולקולריים

מיומנויות

הבניית ידע, חשיבה ביקורתית, יישום ידע, יצירתיות, פרזנטציה, שיתוף פעולה