הזמנת כרטיסים
הזמנת כרטיסים
arrow ar

نجمة من نكّاشات الأسنان

كيف نحضّر نجومًا بالاستعانة بنكّاشات أسنان، وما علاقة ذلك بالفراعنة؟

شاهد الفيديو
متابعة مشاهدة الفيديو

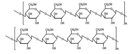
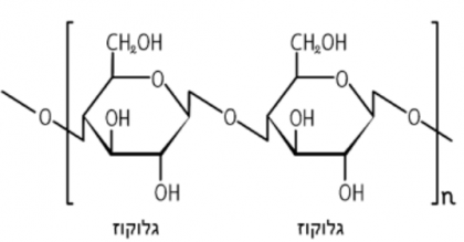
الخشب (الذي صُنعت منه النكّاشات) مكوّن بشكل أساسي من السليولوز. السليولوز مبنيّ من سلاسل طويلة جدًّا: مئات جزيئات سكّر الجلوكوز يرتبط أحدها بالآخر.

أية روابط بين الجزيئات موجودة بين سلاسل متجاورة من السليولوز؟ اختاروا الإجابة الصحيحة.

1.

روابط هيدروجينية وروابط فان در فالس.

كل الاحترام! جواب صحيح جزئيًا جواب صحيح جواب غير صحيح

2.

روابط تساهميّة.

كل الاحترام! جواب صحيح جزئيًا جواب صحيح جواب غير صحيح

3.

روابط هيدروجينية فقط.

كل الاحترام! جواب صحيح جزئيًا جواب صحيح جواب غير صحيح

4.

روابط فان در فالس فقط.

كل الاحترام! جواب صحيح جزئيًا جواب صحيح جواب غير صحيح

لمَ يمتصّ الخشبُ الماء؟ اختاروا الإجابة الصحيحة.

1.

بسبب تكوّن روابط تساهميّة بين سلاسل السليولوز وجزيئات الماء.

كل الاحترام! جواب صحيح جزئيًا جواب صحيح جواب غير صحيح

2.

بسبب تكوّن روابط هيدروجينية بين سلاسل السليولوز وجزيئات الماء.

كل الاحترام! جواب صحيح جزئيًا جواب صحيح جواب غير صحيح

3.

بسبب تكوّن روابط فان در فالس بين سلاسل السليولوز وجزيئات الماء.

كل الاحترام! جواب صحيح جزئيًا جواب صحيح جواب غير صحيح

متابعة مشاهدة الفيديو

بين سلاسل السليولوز روابط هيدروجينية عديدة، لأنه على طول كلّ سلسلة مراكز عديدة لتكوين روابط هيدروجينية مع سلاسل متجاورة.

حين تتسلل جزيئات الماء في المسافات التي بين السلاسل، ينقطع بعض الروابط الهيدروجينية بين سلاسل السليولوز، وتتكوّن بدلًا منها روابط هيدروجينية بين السلاسل وبين جزيئات الماء. بما أنّ السلاسل طويلة جدًّا، لا تنجح جزيئات الماء في أن تفصل بين السلاسل، بل فقط في أن تدخل بينها، وهكذا ينتفخ الخشب. تنفتح ثنية كلّ نكاشة كي تُعطي مكانًا للسلاسل المنتفخة، وهكذا تتكوّن صورة النجمة.

فيديو تفاعليّ

نكّاشات الأسنان تكوّن نجمة ‒ فيديو تفاعُليّ

شغّل الفيديو
حول النشاط

في هذه الفعالية يشاهد الطلاب مقطع فيديو تتكوّن فيه أشكال شبيهة بالنجوم من نكّاشات أسنان قُطر عليها بعض الماء. خلال الفيديو، ينال الطلاب معلوماتٍ إضافيّة عن السليولوز – المادّة التي يتكوّن منها الخشب – ويجيبون عن أسئلة حول الروابط بين الجزيئات.

اصطلاحات

الروابط بين الجزيئات، الروابط الهيدروجينية، روابط فان در فالس

برنامج الدرس

نُشاهِد تَجارب: نفهم الروابط الهيدروجينية

درس واحد - درسان
حول النشاط

في هذه الفعالية، يشاهد الطلاب مقاطع فيديو، بعضها مقاطع فيديو تفاعُليّة تحتوي على أسئلة. يتدرّب الطلاب على موضوع "الروابط الهيدروجينية" في سياقاتٍ ملموسة تظهر في مقاطع الفيديو والأسئلة، مع التطرّق إلى أفكار مغلوطة شائعة حول الموضوع.

اصطلاحات

الروابط الهيدروجينية، الرابط التساهمي القطبي، الروابط بين الجزيئات

مهارات

בناء المعرفة, النقد البناء, تطبيق المعرفة, ابداع, محاضرة, المشاركة