הזמנת כרטיסים
הזמנת כרטיסים
arrow ar

الماء يهرب من الكأس

ماء يخرج ويتدفق إلى أعلى، إلى أسفل، وإلى الخارج من داخل كأس، دون أن نلمس الماءَ أو الكأس

شاهد الفيديو
متابعة مشاهدة الفيديو

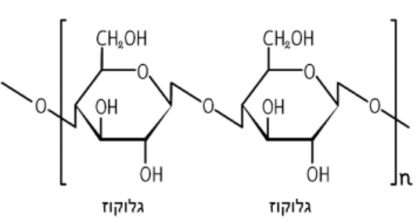
الورق (الذي يُصنَع من خشب أو قُطن) مُكوَّن بشكل أساسي من السليولوز. السليولوز مبنيّ من سلاسل طويلة جدًّا: مئات جزيئات سكّر الجلوكوز يرتبط أحدها بالآخر.

لائِموا بين المصطلح والشرح المناسب له:

1. ترتبط جزيئات الماء أحدها بالآخر بروابط هيدروجينية
2. ترتبط جزيئات الماء بسلاسل السليولوز بروابط هيدروجينية
1. قوّة التماسُك
2. قوّة الالتصاق

لماذا يمتصّ الورقُ الماء؟ اختاروا الإجابتَين الصحيحتَين.

1.

بسبب تكوّن روابط تساهميّة بين سلاسل السليولوز وجزيئات الماء.

كل الاحترام! جواب صحيح جزئيًا جواب صحيح جواب غير صحيح

2.

بسبب تكوّن روابط هيدروجينية بين سلاسل السليولوز وجزيئات الماء.

كل الاحترام! جواب صحيح جزئيًا جواب صحيح جواب غير صحيح

3.

بسبب تكوّن روابط هيدروجينية بين جزيئات الماء، التي بدأت تتسلق إلى أعلى الورقة، وجزيئات الماء الموجودة تحتها في الكأس.

كل الاحترام! جواب صحيح جزئيًا جواب صحيح جواب غير صحيح

4.

بسبب تكوّن روابط تساهميّة بين جزيئات الماء، التي بدأت تتسلق إلى أعلى الورقة، وجزيئات الماء الموجودة تحتها في الكأس.

كل الاحترام! جواب صحيح جزئيًا جواب صحيح جواب غير صحيح

متابعة مشاهدة الفيديو

تتسلل جزيئات الماء في المسافات التي بين سلاسل السليولوز وتتكوّن روابط هيدروجينية بين السلاسل وبين جزيئات الماء. تكوّن جزيئات الماء التي ارتفعت في الورقة روابط هيدروجينية مع أجزاء في تتمّة سلاسل السليولوز، وهكذا تتقدّم على طول الورقة. إضافةً إلى ذلك، ترتبط جزيئات الماء أيضًا أحدها بالآخر بروابط هيدروجينية، وحين تبدأ في التقدّم على طول الورقة تجذب خلفها جزيئات ماء إضافية ترتبط بها. 

فيديو تفاعليّ

الماء يهرب من الكأس ‒ فيديو تفاعُليّ

شغّل الفيديو
حول النشاط

في هذه الفعالية يشاهد الطلاب مقطع فيديو ينتقل فيه الماء من كأس إلى أخرى عبر "جِسر" ورقيّ. ينال الطلاب معلوماتٍ إضافيّة عن السليولوز – المادّة التي يُصنَع منها الورق – ويجيبون عن أسئلة حول المبنى والترابُط.

اصطلاحات

الروابط الهيدروجينية، الروابط بين الجزيئات، روابط فان در فالس

برنامج الدرس

نُشاهِد تَجارب: نفهم الروابط الهيدروجينية

درس واحد - درسان
حول النشاط

في هذه الفعالية، يشاهد الطلاب مقاطع فيديو، بعضها مقاطع فيديو تفاعُليّة تحتوي على أسئلة. يتدرّب الطلاب على موضوع "الروابط الهيدروجينية" في سياقاتٍ ملموسة تظهر في مقاطع الفيديو والأسئلة، مع التطرّق إلى أفكار مغلوطة شائعة حول الموضوع.

اصطلاحات

الروابط الهيدروجينية، الرابط التساهمي القطبي، الروابط بين الجزيئات

مهارات

בناء المعرفة, النقد البناء, تطبيق المعرفة, ابداع, محاضرة, المشاركة